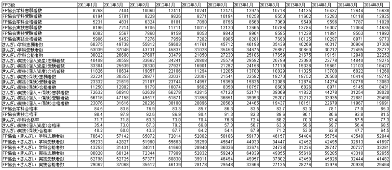
【FP3級の比較統計とグラフ】「FP協会」より「きんざい」の受験者は出来悪く勉強不足,学科の合格率が1割すくない。同じ試験内容と合格基準なのに・・・。
きんざいのほうが,FP3級の合格率が学科で1割ひくい。
青がFP協会,赤がきんざい。
実線:学科試験,点線:実技試験

※クリックしてグラフを拡大
合格率を要約すると,高い順に:
- FP協会の実技:9割が合格。
- FP協会の学科:8割が合格。
- きんざいの学科:7割が合格。
- きんざいの実技・個人資産:同じく7割が合格。
- きんざいの実技・保険:6割が合格。
きんざいのほうが合格率が低いことがグラフからわかる。
Fp協会ときんざいで,比較しよう
FP3級の試験は「FP協会」と「きんざい」の2団体が開催する。
どちらで受験すれば有利なのか?と,よく疑問に思ったものだ。
「同じ試験の合格率はどちらが高いか」で比べてみよう。
冒頭のグラフを見ると,
FP協会(青)のほうが,きんざい(赤)よりも合格率が高い。
青の実線と赤の実線を比べると,毎年10%もの差がある。
FP協会ときんざいで,同一の試験内容で
しかも同一の合格基準であるにもかかわらず。
(※実技試験は内容が異なるため単純比較はできない)
いずれも合格基準は6割,つまり60点満点中36点だ。
同じ試験なのに,きんざいで受けるほうが明らかに出来が悪く,落ちやすいのだ。
つまり,きんざいの受験者のほうが勉強していないのだ。
「回ごと」の合格率だと,どうなるか?
冒頭のグラフは「年ごと」の情報だが,「回ごと」で詳しく見てみよう。

※クリックしてグラフを拡大
これが回ごとの合格率の比較グラフ。
学科だけでなく,実技試験も同じように,きんざいのほうが合格率が少ない。
FP協会ときんざいでは実技試験の内容が異なるので,単純な比較はできないが。。
こうなる理由としては,おそらく
- 「保険の仕事をしよう!」
- →「そのためにFP3級を取ろう!」
- →「『保険』という名前が入った実技科目で実力証明をするために,学科もついでにきんざいで受けよう!」
- →「仕事が忙しく激務なので,落ちちゃった・・・」
という事情があるのだろう。
というわけで結論:
FP協会で受験しても,きんざいで受験しても,
学科の難易度は変わらない。同じ試験問題,同じ採点基準,同じ合格率だから
どちらが有利ということはない。それにもかかわらず,
きんざいの受験に集まる人のほうが「出来が悪く勉強不足」であるため,
きんざいの学科の合格率のほうが10パーセントも低くなる!冒頭のグラフを見れば明らか。
※統計の根拠となる全データ:
参考:
FP協会ときんざい(金財)での合格率の違いを詳しく分析 | FP技能士3級・2級合格勉強会
http://money-study.net/fp/exam/fp-kin...
- 学科試験は、FP協会でもきんざい(金財)でも、まったく同じ問題を使用しており、合格基準もまったく同じです。にもかかわらず、合格率に大きな差が出ているのです。
- このことから、FP協会での受験者ほうが、受験者の学習レベルが高いことがわかります。 つまり、FP協会で受験される方の方が、よく勉強しているということです。
- では、なぜこれほど合格率に差が出るのでしょうか? これには2つ理由があげられます。 まず、きんざい(金財)の受験者の中には、金融機関に所属する社員たちが、会社での団体申込により受験しているケースが多くあります。
関連記事:
簿記検定と,FP,宅建を比較する。つぶしがきいて求人が多いのは簿記
http://study-guide.hatenablog.jp/entry/20140702/p5
FP3級を,オンラインで勉強するためのリンク集。過去問の解説や要点のまとめ
http://study-guide.hatenablog.jp/entry/20140905/p2
FP3級の過去問動画のまとめ。試験問題と解答・解説をYoutubeで聞き流して勉強
http://study-guide.hatenablog.jp/entry/20141209/p1
簿記検定の3級に合格するための勉強用Youtube動画
http://study-guide.hatenablog.jp/entry/20140701/p2
